吴艳妮赛后收到母亲家书母亲为她感到骄傲与自豪
- 发布于:2024-08-08 22:30:09
- 来源:360足球直播

8月8日宣 据红星新闻报道,结束了自己的首次奥运会之旅后,吴艳妮在赛后收到了一份惊喜:红星新闻记者将吴艳妮母亲熊艳亲笔书写的一封家书,送到了刚刚结束比赛的吴艳妮手上。
“第一次收到妈妈的信,或者更准确地说应该是家书。”吴艳妮收到惊喜之后显得十分意外,洋溢着幸福的笑容。“明天就要准备回国了,在巴黎也没有什么其他的安排,然后回去了就要准备接下来的锦标赛。”由于后续还要进行尿检等赛内工作,吴艳妮没有过多在混合采访区停留。
结束了自己的首次奥运之旅之后,吴艳妮在接受采访时表示:“确实在这两场比赛中,个人的实力还没有完全发挥出来。我觉得确实还有遗憾,但我会把遗憾带到接下来的训练当中,希望明年能有一个更好的突破。”
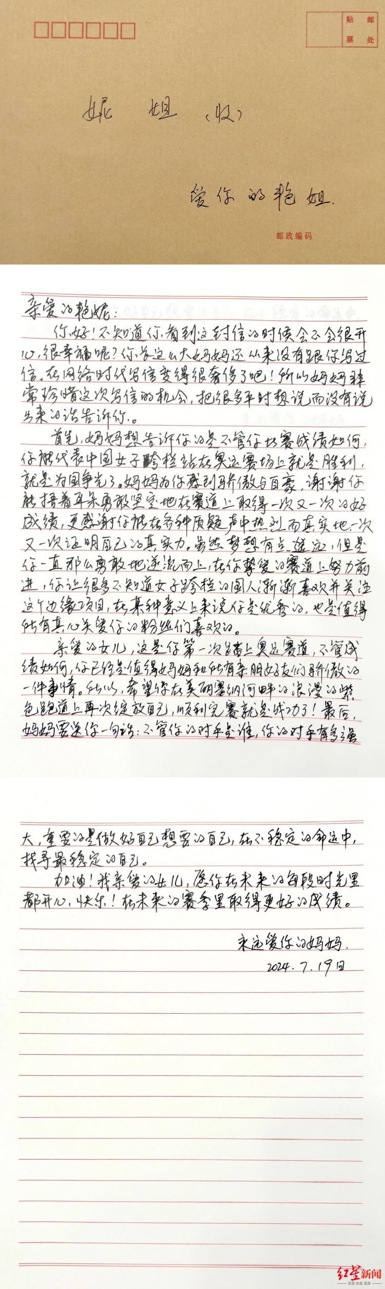
其实在来到巴黎奥运会之前,红星新闻记者就曾去到吴艳妮在自贡的家中,与她的母亲熊艳进行了一次面对面的深度对话。在那次采访的最后,熊艳受邀请给女儿写下了一封家书,并叮嘱记者一定要在奥运会的赛场上交给自己的女儿。
“跟女儿沟通都是面对面语言,或者手机电话、微信、微信电话,写信还是第一次。”她本来觉得自己写不了多少,可一动笔却感觉真有很多想写的。写着写着,眼泪就流了下来。熊艳说:“书信这种已经淘汰的沟通方式,与电话微信相比,还真不一样,它能让人把内心深处的一些情感和信息表达出来。”她也很感谢成都商报-红星新闻做的这个奥运策划,让她给女儿写下了第一封信,写下了内心深处的话。
在信中,熊艳非常自豪地表示:“不管你比赛成绩如何,你能代表中国女子跨栏站在奥运赛场上就是胜利,就是为国争光了。妈妈为你感到骄傲与自豪。谢谢你能捂着耳朵勇敢坚定地在赛道上取得一次又一次的好成绩,更感谢你能在各种质疑声中热烈而真实地一次又一次证明自己的真实力。”
“虽然梦想有点遥远,但是你一直那么勇敢地逆流而上,在你挚爱的赛道上努力前进。”熊艳写到,“你让很多不知道女子跨栏的国人渐渐喜欢并关注这个边缘项目,在某种意义上来说你是优秀的,也是值得所有真心关爱你的粉丝们喜欢的。”
信的最后,熊艳也希望吴艳妮在未来的每段时光里都开心快乐。这,就是一个母亲对女儿最质朴的祝福吧。

相关资讯
- 体育战报 | 云顶站三连冠!谷爱凌摘得本赛季世界杯首金
- 体育战报 | 2025广马是“大湾区的广马”
- 体育战报 | 扇耳光大赛倒地的中国选手再谈失利:不后悔上场,坚定了决心
- 体育战报 | 上演1比3大逆转,王楚钦淘汰松岛辉空晋级总决赛8强
- 体育战报 | 一波五连胜,转籍便夺冠,拉希莫娃上周再成焦点人物
- 体育战报 | 苏炳添退役:十秒百米,跑成了半生马拉松
- 体育战报 | 球童助萨巴对大坂直美实现复仇,网友:日本人最憋屈失利诞生了
- 体育战报 | 冰雪赛道,为塞北山城高质量发展打开想象空间新京报评论
- 体育战报 | 莫拉托格鲁力挺德雷珀成网坛第三人:若无伤病,他必成世界前五
- 体育战报 | 亚太狂飙109%,On昂跑在中国的“反重力”奔跑
最新资讯
- 中超 | 韩鹏刚有望在鲁能转正,就可能为俱乐部搞定一笔签约,以官宣为准
- 英超 | 创队史纪录,维拉首次取得英超6连胜
- 德甲 | 德甲:法兰克福状态一般,奥格斯堡表现跳跃
- 英超 | 下一场追平哈兰德在英超已打入102球,仅比C罗少1球
- 英超 | 32!54岁埃梅里震撼英超:率队两度扳平后绝杀9连胜+近11轮10胜
- NBA | 杨瀚森又没机会了克林根罗威预计明日复出开拓者伤病问题好转
- 英超 | 第二球是射门还是传中奥多伊:两者都有,结果球进了
- 英超 | 记者:富安健洋周二接受阿贾克斯体检,若通过将签约至明年6月
- NBA | 27投狂轰42分8助6板!男篮00后天才杀疯了:他还真有望冲击NBA
- 体育战报 | 云顶站三连冠!谷爱凌摘得本赛季世界杯首金
